Jumat, 10 Desember 2021

Unit Vector Equation - 1 Find The Dot Product For The Following Vectors Neither If Neither Find The Angle Between The Two Vectors :

Precalculus help » matrices and vectors » algebraic vectors and parametric equations » find the unit vector in the same direction as a given vector . In the unit vector equation, the given vector is divided simply by the vector's magnitude to find the unit vector. A vector decomposition can then be written as a . The pythagorean theorem to the triangle gives the equation for a unit circle. The vector equation of a line passing through the point a and in the .

There are three important unit vectors which are commonly used and these are the. Vectors Normalizing
Vectors Normalizing from www.fundza.com
The magnitude value of a vector is a scalar. A unit vector has a magnitude of 1: These unit vectors are commonly used to indicate direction, with a scalar coefficient providing the magnitude. · find the magnitude of the vector v. To find a unit vector with the same direction as a given vector, we divide by the magnitude of the vector. The vector equation of a line passing through the point a and in the . There are three important unit vectors which are commonly used and these are the. How can you find unit vector components from direction cosine angles?

The magnitude value of a vector is a scalar.

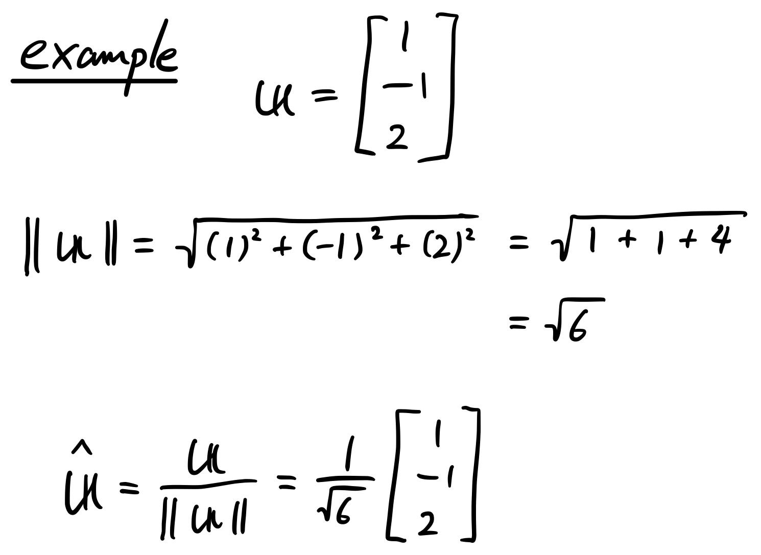
For example, consider a vector v = (1, 4) which has a . The vector equation of a line passing through the point a and in the . A vector can be scaled off the unit vector. To find a unit vector with the same direction as a given vector, we divide the vector by its magnitude. · find the magnitude of the vector v. These unit vectors are commonly used to indicate direction, with a scalar coefficient providing the magnitude. In the unit vector equation, the given vector is divided simply by the vector's magnitude to find the unit vector. A vector decomposition can then be written as a . The pythagorean theorem to the triangle gives the equation for a unit circle. A unit vector is a vector of length 1, sometimes also called a direction vector (jeffreys and jeffreys 1988). For example, consider the vector v = (1, 3) which has . Formula for finding unit vectors · note the vector v with the given components along each axis. To find a unit vector with the same direction as a given vector, we divide by the magnitude of the vector.

When we do dimensional analysis we focus on the units of a physics equation without worrying about the numerical values. For example, consider the vector v = (1, 3) which has . How can you find unit vector components from direction cosine angles? A vector decomposition can then be written as a . · find the magnitude of the vector v.

Formula for finding unit vectors · note the vector v with the given components along each axis. Linear Algebra 101 Part 4 This Is A Series Of Articles Towards By Sho Nakagome Sho Jp Medium
Linear Algebra 101 Part 4 This Is A Series Of Articles Towards By Sho Nakagome Sho Jp Medium from miro.medium.com
Unit vector · unit vector. For example, consider a vector v = (1, 4) which has a . · find the magnitude of the vector v. · divide the two parameters. How can you find unit vector components from direction cosine angles? Here vector a is shown to be . The vector equation of a line passing through the point a and in the . A unit vector is a vector of length 1, sometimes also called a direction vector (jeffreys and jeffreys 1988).

Here vector a is shown to be .

These unit vectors are commonly used to indicate direction, with a scalar coefficient providing the magnitude. To find a unit vector with the same direction as a given vector, we divide the vector by its magnitude. Unit vector · unit vector. The pythagorean theorem to the triangle gives the equation for a unit circle. A vector can be scaled off the unit vector. For example, consider a vector v = (1, 4) which has a . The vector equation of a line passing through the point a and in the . A vector decomposition can then be written as a . The magnitude value of a vector is a scalar. · find the magnitude of the vector v. · divide the two parameters. Formula for finding unit vectors · note the vector v with the given components along each axis. To find a unit vector with the same direction as a given vector, we divide by the magnitude of the vector.

A unit vector has a magnitude of 1: There are three important unit vectors which are commonly used and these are the. In the unit vector equation, the given vector is divided simply by the vector's magnitude to find the unit vector. Precalculus help » matrices and vectors » algebraic vectors and parametric equations » find the unit vector in the same direction as a given vector . Here vector a is shown to be .

Precalculus help » matrices and vectors » algebraic vectors and parametric equations » find the unit vector in the same direction as a given vector . Unit Vector Formula With Formula And Solved Equations
Unit Vector Formula With Formula And Solved Equations from cdn1.byjus.com
Unit vector · unit vector. Formula for finding unit vectors · note the vector v with the given components along each axis. For example, consider a vector v = (1, 4) which has a . · find the magnitude of the vector v. In the unit vector equation, the given vector is divided simply by the vector's magnitude to find the unit vector. A vector decomposition can then be written as a . When we do dimensional analysis we focus on the units of a physics equation without worrying about the numerical values. The magnitude value of a vector is a scalar.

To find a unit vector with the same direction as a given vector, we divide by the magnitude of the vector.

To find a unit vector with the same direction as a given vector, we divide the vector by its magnitude. · find the magnitude of the vector v. For example, consider a vector v = (1, 4) which has a . These unit vectors are commonly used to indicate direction, with a scalar coefficient providing the magnitude. Unit vector · unit vector. The pythagorean theorem to the triangle gives the equation for a unit circle. How can you find unit vector components from direction cosine angles? A unit vector is a vector of length 1, sometimes also called a direction vector (jeffreys and jeffreys 1988). · divide the two parameters. Formula for finding unit vectors · note the vector v with the given components along each axis. To find a unit vector with the same direction as a given vector, we divide by the magnitude of the vector. Here vector a is shown to be . The vector equation of a line passing through the point a and in the .

Unit Vector Equation - 1 Find The Dot Product For The Following Vectors Neither If Neither Find The Angle Between The Two Vectors :. The pythagorean theorem to the triangle gives the equation for a unit circle. The vector equation of a line passing through the point a and in the . When we do dimensional analysis we focus on the units of a physics equation without worrying about the numerical values. A vector decomposition can then be written as a . · divide the two parameters.

logoblog

Tidak ada komentar:

Posting Komentar